Mendekati mid semester bulan oktober ini tentu soal semacam ini diperlukan maka saya posting saja agar bisa untuk latihan OK semoga berguna
SOAL
1. Satu jenis asam amino essensial dibangun oleh ....
a. 3 basa nitrogen tertentu
b. 3 nukleotida
c. kumpulan polipeptida
d. 3 RNA duta
e. 3 DNA
Pembahasan:
Asam amino tersusun atas 3 buah basa nitrogen tertentu yang dikenal sebagai triplet
Setiap urutan tiga basa nitrogen tersebut memiliki arti khusus yang dapat diterjemahkan dalam proses translasi.
Urutan 3 basa nitrogen ini disebut juga sebagai kodon.
Jawaban: B
Asam amino Essensiil meliputi : Leusin, Isoleusin, Metionin, Arginin , Histidin, Treonin, Valin , Fenilalanin, Lisin, Triptopan ( LIMA Hadiah TV FLaT )
Asam amino itu di sel berada di sitoplasma dibawa ke ribosom dalam proses translasi oleh RNAt
Asam amino yang ada di sitoplasma itu dibentuk oleh 3 nucleotida yang berisi 3 phosphat , 3 gula ribosa berupa 5 atom C dan 3 basa nitrogen yang selalu mempunyai kode asam amino OK
setiap Asam amino harus disusun oleh 3 Nukleotida karena di alam terdapat 20 jenis asam amino yaitu 10 asam amino essensiil dan 20 asam amino non essensil , kalau hanya disusun 1 nukleotida hanya dapat dibentuk 4 asam amino , kalau 2 nukleotida hanya bisa membentuk 16 asam amino maka jadi triplet OK
2. Berikut ini bukan merupakan proses yang terjadi pada sintesis protein adalah ....
a. RNAd keluar dari inti sel menuju ribosom
b. RNAd dibentuk oleh DNA di dalam sitoplasma
c. RNAt membawa asam amino menuju ribosom
d. DNA merancang sintesis protein
e. Di dalam ribosom terdapat RNAr
Pembahasan:
RNAd dibentuk oleh DNA di nukleus bukan di sitoplasma.
RNAd dibentuk di Nukleus dalam proses Transkripsi OK
Jawaban: B
3. Rantai DNA sense mempunyai kode basa nitrogen sebagai berikut.
Maka urutan basa nitrogen pada RNAt adalah ....
a. UGC – CGG – ACU – AAA – UCU
b. ACG – GCC – TGA – TTT – AGA
c. ACG – GCC – UGA – UUU – AGA
d. TGC – CGG – ACT – AAA – TCT
e. UCG – GCC – TGU – TTT – UGU
Pembahasan:
DNA TGC-CGG-ACT-AAA-TCT
RNAd ACG-GCC-UGA-UUU-AGA
RNAt UGC-CGG-ACU-AAA-UGU
DNA sense sering disebut DNA template : mempunyai bahasa kode genetik : KODOGEN OK
Jawaban: A
4. Pernyataan yang salah tentang DNA adalah ....
a. rantainya double helix
b. gulanya deoksiribosa
c. basa nitrogennya: C, T, A, G
d. letaknya di ribosom, sitoplasma, nukleus, plastida
e. fungsinya sebagai pengendali faktor keturunan
Pembahasan:
DNA tidak terdapat di sitoplasma.
Tepatnya DNA ternyata yidak hanya ada di Nukleus namun juga ada ditempat organela yang dindingnya double misalnya : Chloroplast dan Mitochondria OK
Jawaban: D
5. Suatu fragmen DNA terdiri atas 4 pasang nukleotida. Pernyataan yang sesuai adalah ....
a. dibutuhkan 8 basa nitrogen
b. terdapat 4 ikatan hidrogen
c. dapat terbentuk 8 macam asam amino
d. dibutuhkan 4 gula pentosa
e. mempunyai 8 basa jenis purin
Pembahasan:
Suatu fragmen DNA terdiri atas 4 pasang nukleotida membutuhkan 8 basa nitrogen.
Sebenarnya tidak hanya 8 Basa Nitrogen , namun juga 8 gula deoksiribosa, 8 gugus PO4 mudahnya 8 Nucleotida OK
Jawaban: A
6. Bagian dari kromosom yang didalamnya tidak terdapat gen dan tidak menyerap warna adalah ....
a. kromatid
b. kromomer
c. kromonema
d. lengan
e. sentromer
Pembahasan:
Pada lengan kromosom ditemukan kromonema yang berisi DNA yang merupalan senyawa organik sehingga diwarnai cat pewarna itu bisa diserap OK
Sentromer tidak mengandung gen.
Sentromer itu yang membagi lengan kromosom menjadi 2 . ada yang membagi sama panjang , namun juga ada yang tidak (meta sentris, sub metasentris, akrosentris dan telosentris))
Sentromer terdapat kinetokor yang digunakan utuk tempat menempelnya benang spindel yang digunakan dalam proses pembelahan sel OK
Jawaban: E
7. Perhatikan gambar struktur kromosom berikut ini.
SOAL
1. Satu jenis asam amino essensial dibangun oleh ....
a. 3 basa nitrogen tertentu
b. 3 nukleotida
c. kumpulan polipeptida
d. 3 RNA duta
e. 3 DNA
Pembahasan:
Asam amino tersusun atas 3 buah basa nitrogen tertentu yang dikenal sebagai triplet
Setiap urutan tiga basa nitrogen tersebut memiliki arti khusus yang dapat diterjemahkan dalam proses translasi.
Urutan 3 basa nitrogen ini disebut juga sebagai kodon.
Asam amino Essensiil meliputi : Leusin, Isoleusin, Metionin, Arginin , Histidin, Treonin, Valin , Fenilalanin, Lisin, Triptopan ( LIMA Hadiah TV FLaT )
Asam amino itu di sel berada di sitoplasma dibawa ke ribosom dalam proses translasi oleh RNAt
Asam amino yang ada di sitoplasma itu dibentuk oleh 3 nucleotida yang berisi 3 phosphat , 3 gula ribosa berupa 5 atom C dan 3 basa nitrogen yang selalu mempunyai kode asam amino OK
setiap Asam amino harus disusun oleh 3 Nukleotida karena di alam terdapat 20 jenis asam amino yaitu 10 asam amino essensiil dan 20 asam amino non essensil , kalau hanya disusun 1 nukleotida hanya dapat dibentuk 4 asam amino , kalau 2 nukleotida hanya bisa membentuk 16 asam amino maka jadi triplet OK
2. Berikut ini bukan merupakan proses yang terjadi pada sintesis protein adalah ....
a. RNAd keluar dari inti sel menuju ribosom
b. RNAd dibentuk oleh DNA di dalam sitoplasma
c. RNAt membawa asam amino menuju ribosom
d. DNA merancang sintesis protein
e. Di dalam ribosom terdapat RNAr
Pembahasan:
RNAd dibentuk oleh DNA di nukleus bukan di sitoplasma.
RNAd dibentuk di Nukleus dalam proses Transkripsi OK
Jawaban: B
3. Rantai DNA sense mempunyai kode basa nitrogen sebagai berikut.
TGC – CGG – ACT – AAA – TCT
Maka urutan basa nitrogen pada RNAt adalah ....
a. UGC – CGG – ACU – AAA – UCU
b. ACG – GCC – TGA – TTT – AGA
c. ACG – GCC – UGA – UUU – AGA
d. TGC – CGG – ACT – AAA – TCT
e. UCG – GCC – TGU – TTT – UGU
Pembahasan:
DNA TGC-CGG-ACT-AAA-TCT
RNAd ACG-GCC-UGA-UUU-AGA
RNAt UGC-CGG-ACU-AAA-UGU
DNA sense sering disebut DNA template : mempunyai bahasa kode genetik : KODOGEN OK
Jawaban: A
4. Pernyataan yang salah tentang DNA adalah ....
a. rantainya double helix
b. gulanya deoksiribosa
c. basa nitrogennya: C, T, A, G
d. letaknya di ribosom, sitoplasma, nukleus, plastida
e. fungsinya sebagai pengendali faktor keturunan
Pembahasan:
DNA tidak terdapat di sitoplasma.
Tepatnya DNA ternyata yidak hanya ada di Nukleus namun juga ada ditempat organela yang dindingnya double misalnya : Chloroplast dan Mitochondria OK
Jawaban: D
5. Suatu fragmen DNA terdiri atas 4 pasang nukleotida. Pernyataan yang sesuai adalah ....
a. dibutuhkan 8 basa nitrogen
b. terdapat 4 ikatan hidrogen
c. dapat terbentuk 8 macam asam amino
d. dibutuhkan 4 gula pentosa
e. mempunyai 8 basa jenis purin
Pembahasan:
Suatu fragmen DNA terdiri atas 4 pasang nukleotida membutuhkan 8 basa nitrogen.
Sebenarnya tidak hanya 8 Basa Nitrogen , namun juga 8 gula deoksiribosa, 8 gugus PO4 mudahnya 8 Nucleotida OK
Jawaban: A
6. Bagian dari kromosom yang didalamnya tidak terdapat gen dan tidak menyerap warna adalah ....
a. kromatid
b. kromomer
c. kromonema
d. lengan
e. sentromer
Pembahasan:
Pada lengan kromosom ditemukan kromonema yang berisi DNA yang merupalan senyawa organik sehingga diwarnai cat pewarna itu bisa diserap OK
Sentromer tidak mengandung gen.
Sentromer itu yang membagi lengan kromosom menjadi 2 . ada yang membagi sama panjang , namun juga ada yang tidak (meta sentris, sub metasentris, akrosentris dan telosentris))
Sentromer terdapat kinetokor yang digunakan utuk tempat menempelnya benang spindel yang digunakan dalam proses pembelahan sel OK
Jawaban: E
7. Perhatikan gambar struktur kromosom berikut ini.
a. 1
b. 2
c. 3
d. 4
e. 5
Jawab : A
8. Perhatikan pernyataan berikut ini.
a. 1, 2, 3, dan 4
b. 2, 3, 4, dan 1
c. 1, 3, 2, dan 4
d. 3, 1, 4, dan 2
e. 1, 4, 3, dan 2
Jadi jawabannya : A
9. Kode genetik yang dibawa mRNA berdasarkan kode genetik dari ….
a. ATP
b. tRNA
c. ADP
d. rRNA
e. DNA
mRNA adalah RNA produk transkripsi maka ia dibentuk oleh DNA di Nucleus
Jawab : E
10. Perhatikan tabel berikut.

Asam Amino Kodon Glisin GGG Sistein UGC Serin AGC Treonin ACG Leusin GUA Jika urutan basa nitrogen DNAadalah TGC TCG CAT, asam amino yang akan tersusun adalah ….
a. treonin, serin, leusin
b. treonin, sistein, treonin
c. leusin, serin, leusin
d. glisin, teronin, sistein,
e. serin, sistein, treonin
11. Proses translasi akan berhenti ketika pembacaan bertemu dengan kodon terminasi (kodon stop), yaitu ….
a. AUG
b. AGU
c. UUU
d. UGC
e. UAA
12. Hiposis replikasi DNA yang menyatakan bahwa DNA terpisah berdasarkan arah panjangnya, kemudian setiap pita membentuk komplemennya merupakan hipotesis replikasi ….
a. konservatif
b. bidireksional
c. semikonservatif
d. divergen
e. dispersif
13. Orang yang kali pertama mengemukakan model struktur DNA adalah ….
a. Francis Crick dan August eismann
b. Herman Muller dan Francis Crick
c. James D. atson dan Francis Crick
d. Herman Muller dan August eismann
e. James D. atson dan August eismann
14. Berikut ini pernyataan yang benar mengenai DNA dan RNA adalah ….
a. DNA merupakan penyusun gen
b. memiliki ikatan basa nitrogen
c. tersusun atas gula pentosa, asam fosfat, dan basa nitrogen
d. dapat bereplikasi
e. berperan langsung dalam proses translasi sistesis protein
15. Enzim yang berperan dalam proses translasi adalah ….
a. DNA polimerase
b. karbonat anhidrase
c. RNA polimerase
d. ligase
e. protease
16 Sepotong DNA anti sense terdiri dari basa-basa nitrogen sebagai berikut :
17. Perhatikan gambar berikut.
a. 3 buah
b. 8 buah
c. 4 buah
d. 12 buah
e. 7 buah
18. Perhatikan gambar berikut.
19. Perhatikan tabel berikut.

Berdasarkan translasi tersebut didapatkan asam amino ….
a. serin – asam glutamat – tirosin – alanin
b. leusin – tirosin – asam glutamat – isoleusin
c. tirosin – isoleusin – arginin – sistein
d. treonin – leusin – isoleusin – arginin
e. alanin – tirosin – isoleuisn – serin
20. Di antara pernyataan berikut, yang paling tepat untuk menyatakan hubungan antara gen, kromosom, dan molekul DNA adalah ….
a. gen-gen terletak dalam kromosom dan urutan basa nitrogen dalam molekul DNA menentukan macam gen
b. kromosom tersusun atas molekul-molekul DNA dan gen
c. kromosom merupakan benang panjang yang tersusun atas gen, dan di sepanjang kromosom menempel DNA
d. gen sebenarnya adalah DNA itu sendiri yang tersusun atas untaian nukleotida dan terletak di dalam kromosom
e. kromosom adalah benang yang di dalamnya terdapat molekul DNA yang mengikat gen-gen
21. Basa nitrogen yang terdapat pada DNA sebagai berikut, kecuali ….
a. guanin
b. timin
c. adenin
d. sitosin
e. urasil
22. DNA di dalam sel terletak pada ….
a. sitoplasma, inti terutama ribosom
b. inti sel, pada kromosom dan dalam sitoplasma
c. sitoplasma terutama dalam ribosom
d. inti sel terutama dalam ribosom
e. inti sel terutama kromosom
23. Bahan dasar DNA adalah ….
a. gula, fosfat, dan basa nitrogen
b. gula, basa nitrogen, dan guanin
c. purin, basa nitrogen, dan guanin
d. adenin, timin dan, basa nitrogen
e. fosfat, sitosin, dan timin
24. Berikut ini adalah keterangan tentang struktur dan fungsi DNA dan RNA.
a. 2, 3, 5, dan 6
b. 2, 3, 4, dan 5
c. 1, 2, 3, dan 4
d. 1, 3, 5, dan 6
e. 3, 4, 5, dan 6
25. Pasangan basa nitrogen adenin pada RNA adalah ….
a. timin
b. urasil
c. guanin
d. adenin
e. sitosin
26. Jika urutan basa nitrogen suatu rantai DNA
a. UCG AUC CGU AUG
b. UCG UAC GGU UCG
c. TCG CTA GCT ATG
d. TCG ATC CGT GTA
e. TCG ATC CGT ATG
29 . Basa nitrogen yang terdapat pada DNA sebagai berikut, kecuali ….
30 . Diketahui rantai antisense sebagai berikut
3 5. Berikut ini bukan merupakan proses yang terjadi pada sintesis protein adalah ….
3 7. Berikut ini yang bukan merupakan proses yang terjadi pada sintesis protein adalah…..

Bagian X pada diagram di atas adalah …
a. 20
b. 40
c. 60
d. 180
e. 320
Pembahasan:
Persilangan 2 sifat beda menghasilkan perbandingan 9:3:3:1. Daun lebar warna kuning =
Jawaban: d
43. Warna biji gandum merah ditentukan oleh gen M1 dan M2. Warna putih ditentukan oleh gen m1 dan m2. Dari hasil persilangan didapat ratio warna merah : putih = 1:1. Maka genotipe kedua induknya adalah ....
a. M1M1M2M2 x m1m1m2m2
b. M1m1M2m2 x M1m1M2m2
c. M1m1M2m2 x M1M1m2m2
d. M1m1m2m2 x m1m1m2 m2
e. M1m1M2m2 x m1m1M2m2
Pembahasan:
M1m1m2m2 x m1m1m2m2
M1m1m2m2 : m1m1m2m2
merah : putih
Jawaban: d
44. Lalat buah (Drosophila sp.) dengan kromosom XXY merupakan akibat dari peristiwa ....
a. sex linkage
b. crossing over
c. gen letal
d. poligen
e. nondisjunction
Pembahasan:
XXY terjadi karena tidak terpisahnya kromatid dan kromosom homolog menuju kutub berlawanan.
Jawaban: e
45. Pada Drosophilla sp. Mata merah dominan tehadap putih. Gen yang bertanggung jawab terhadap warna mata terpaut kromosom seks X. Jika disilangkan lalat betina mata merah dengan jantan mata putih, lalu antarketurunannya disilangkan dengan sesamanya, maka akan dihasilkan keturunan ....
a. 50% pria mata merah ; 25% wanita mata putih ; wanita 25% mata merah
b. 50% pria mata merah ; 50% wanita mata putih
c. 75% pria mata merah ; 25% wanita mata putih
d. 25% pria mata merah ; 25% pria mata putih ; 25% wanita mata merah ; 25% wanita mata putih
e. 25% pria mata merah ; 25% pria mata putih ; 50% wanita mata putih
Pembahasan:
p. pria xmxm × wanita xy
f1. xmx × xmy
f2. pria merah (xmxm dan xmx) = 50%
wanita merah (xmy) = 25%
wanita putih (xy) = 25%
Jawaban: a
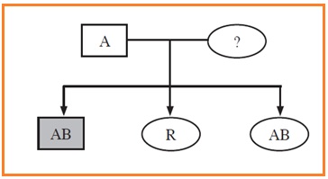
46. Perhatikan pedigree berikut ini.

Gambar yang diarsir adalah penderita Haemofilia.
Berdasarkan pedigree tersebut, genotipe ibu adalah ....
a. IBIB XHXH
b. IBIB XHXh
c. Ibi XHXH
d. Ibi XHXh
e. IAIB XHXh
Pembahasan:
IAIAXHY × IBIBXHXh
• IAIAXHXH ⇒ normal pria
• IAIBXHXh
• IAIBXHY
• IAIBXhY ⇒ hemofilia wanita
Jawaban: b
Ini ada catatan mungkin lebih lengkap untuk mensweeping materi yang belum begitu jelas menjadi jelas KLIK aja ini OK semoga lebih baik
AGAIN
1. Jika rantai DNA adalah ATT GTA AAA CGG, kode genetik yang dibawa oleh mRNA pada sintesis protein adalah…
A. TAA CAT TTT CGG
B. ATT GTA AAA GCC
C. AUU GTA UUU GCC
D. AUU GUA AAA CGG
E. UAA CAU UUU GCC
Pembahasan:
Urutan sintesis protein sebagai berikut
DNA rantai sense : ATT-GTA-AAA-CGG
DNA rantai antisense :TAA-CAT-TTT-GCC
Rantai kodon mRNA : UAA-CAU-UUU-GCC
2. Selama berlangsungnya tahap transasi pada sintesis protein terjadi peristiwa…
A. Duplikasi rantai DNA
B. Membukanya rantai DNA
C. Pencetakan dRNA oleh DNA
D. Pengenalan daerah gen DNA
E. Penerjemahan dRNA oleh tRNA
b. 2
c. 3
d. 4
e. 5
Jawab : A
8. Perhatikan pernyataan berikut ini.
- Transkripsi
- Elongasi
- Translasi
- Pembentukan protein
a. 1, 2, 3, dan 4
b. 2, 3, 4, dan 1
c. 1, 3, 2, dan 4
d. 3, 1, 4, dan 2
e. 1, 4, 3, dan 2
Jadi jawabannya : A
9. Kode genetik yang dibawa mRNA berdasarkan kode genetik dari ….
a. ATP
b. tRNA
c. ADP
d. rRNA
e. DNA
mRNA adalah RNA produk transkripsi maka ia dibentuk oleh DNA di Nucleus
Jawab : E
10. Perhatikan tabel berikut.

Asam Amino Kodon Glisin GGG Sistein UGC Serin AGC Treonin ACG Leusin GUA Jika urutan basa nitrogen DNAadalah TGC TCG CAT, asam amino yang akan tersusun adalah ….
a. treonin, serin, leusin
b. treonin, sistein, treonin
c. leusin, serin, leusin
d. glisin, teronin, sistein,
e. serin, sistein, treonin
11. Proses translasi akan berhenti ketika pembacaan bertemu dengan kodon terminasi (kodon stop), yaitu ….
a. AUG
b. AGU
c. UUU
d. UGC
e. UAA
12. Hiposis replikasi DNA yang menyatakan bahwa DNA terpisah berdasarkan arah panjangnya, kemudian setiap pita membentuk komplemennya merupakan hipotesis replikasi ….
a. konservatif
b. bidireksional
c. semikonservatif
d. divergen
e. dispersif
13. Orang yang kali pertama mengemukakan model struktur DNA adalah ….
a. Francis Crick dan August eismann
b. Herman Muller dan Francis Crick
c. James D. atson dan Francis Crick
d. Herman Muller dan August eismann
e. James D. atson dan August eismann
14. Berikut ini pernyataan yang benar mengenai DNA dan RNA adalah ….
a. DNA merupakan penyusun gen
b. memiliki ikatan basa nitrogen
c. tersusun atas gula pentosa, asam fosfat, dan basa nitrogen
d. dapat bereplikasi
e. berperan langsung dalam proses translasi sistesis protein
15. Enzim yang berperan dalam proses translasi adalah ….
a. DNA polimerase
b. karbonat anhidrase
c. RNA polimerase
d. ligase
e. protease
16 Sepotong DNA anti sense terdiri dari basa-basa nitrogen sebagai berikut :
AGA AAT GGA CCG AGA
Kodon yang terbentuk adalah
a. ACU,UUA,CCU,GGC,UCU
b. AGA,AAU,GGA,CCG,AGA
c. UCU,CCU,UUA,GGC,UCU
d. AGA,AAU,CCG,GGA,AGA
e. AAU,UCU,CCU,GGC,UCU17. Perhatikan gambar berikut.
AGA AAT GGA CCG AGA
Dalam peristiwa translasi untuk pita nukleotida tersebut, diperlukan tRNA sebanyak …. a. 3 buah
b. 8 buah
c. 4 buah
d. 12 buah
e. 7 buah
18. Perhatikan gambar berikut.
AGA AAT GGA CCG AGA
Empat antikodon dari tRNA yang sesuai dengan urutan basa N dari mRNA yang dibentuk adalah …. a. ACU,UUA,CCU,GGC,UCU
b. AGA,AAU,GGA,CCG,AGA
c. UCU,CCU,UUA,GGC,UCU
d. AGA,AAU,CCG,GGA,AGA
e. AAU,UCU,CCU,GGC,UCU19. Perhatikan tabel berikut.

Berdasarkan translasi tersebut didapatkan asam amino ….
a. serin – asam glutamat – tirosin – alanin
b. leusin – tirosin – asam glutamat – isoleusin
c. tirosin – isoleusin – arginin – sistein
d. treonin – leusin – isoleusin – arginin
e. alanin – tirosin – isoleuisn – serin
20. Di antara pernyataan berikut, yang paling tepat untuk menyatakan hubungan antara gen, kromosom, dan molekul DNA adalah ….
a. gen-gen terletak dalam kromosom dan urutan basa nitrogen dalam molekul DNA menentukan macam gen
b. kromosom tersusun atas molekul-molekul DNA dan gen
c. kromosom merupakan benang panjang yang tersusun atas gen, dan di sepanjang kromosom menempel DNA
d. gen sebenarnya adalah DNA itu sendiri yang tersusun atas untaian nukleotida dan terletak di dalam kromosom
e. kromosom adalah benang yang di dalamnya terdapat molekul DNA yang mengikat gen-gen
21. Basa nitrogen yang terdapat pada DNA sebagai berikut, kecuali ….
a. guanin
b. timin
c. adenin
d. sitosin
e. urasil
22. DNA di dalam sel terletak pada ….
a. sitoplasma, inti terutama ribosom
b. inti sel, pada kromosom dan dalam sitoplasma
c. sitoplasma terutama dalam ribosom
d. inti sel terutama dalam ribosom
e. inti sel terutama kromosom
23. Bahan dasar DNA adalah ….
a. gula, fosfat, dan basa nitrogen
b. gula, basa nitrogen, dan guanin
c. purin, basa nitrogen, dan guanin
d. adenin, timin dan, basa nitrogen
e. fosfat, sitosin, dan timin
24. Berikut ini adalah keterangan tentang struktur dan fungsi DNA dan RNA.
- Terdapat dalam inti sel dan kromosom
- Membentuk pita tunggal dan pendek
- Berhubungan dengan sintesis protein dan kadarnya berubah-ubah
- Mengandung pirimidin, sitosin, dan urasil
- Mengandung purin, adenin, dan guanin
- Memiliki komponen gula ribosa
a. 2, 3, 5, dan 6
b. 2, 3, 4, dan 5
c. 1, 2, 3, dan 4
d. 1, 3, 5, dan 6
e. 3, 4, 5, dan 6
25. Pasangan basa nitrogen adenin pada RNA adalah ….
a. timin
b. urasil
c. guanin
d. adenin
e. sitosin
26. Jika urutan basa nitrogen suatu rantai DNA
AGC – TAG – GCA – TAC,
maka rantai pasangannya …. a. UCG AUC CGU AUG
b. UCG UAC GGU UCG
c. TCG CTA GCT ATG
d. TCG ATC CGT GTA
e. TCG ATC CGT ATG
27. Jika rantai DNA adalah
ATT GTA AAA CGG,
kode genetik yang dibawa oleh mRNA pada sintesis protein adalah…A. TAA CAT TTT CGG
B. ATT GTA AAA GCC
C. AUU GTA UUU GCC
D. AUU GUA AAA CGG
E. UAA CAU UUU GCC
Jawaban: E
Pembahasan:
- Urutan sintesis protein sebagai berikut
- DNA rantai sense : ATT-GTA-AAA-CGG
- DNA rantai antisense :TAA-CAT-TTT-GCC
- Rantai kodon mRNA : UAA-CAU-UUU-GCC
28. Fase-fase sintesis protein:
- RNAd meninggalkan inti menuju ribosom
- RNAt mengikat asam amino yang sesuai
- RNAd dibentuk di dalam inti oleh
- DNA Asam amino berderet sesuai dengan urutan kode genetic
- Pembentukan protein yang diperintahkan
Urutan yang sesuai dengan sintesis protein adalah
A. 3), 2), 1), 4) dan 5)
B. 1), 2), 3), 4) dan 5)
C. 3), 1), 2), 4) dan 5)
D. 5), 4), 1), 2) dan 1)
E. 2), 3), 4), 1) dan 5)
Jawaban: C
Pembahasan :
- Sintesis protein berlangsung melalui dua tahap yaitu transkripsi dan translasi.
- Pada tahap transkripsi akan dibentuk RNAd oleh DNA di dalam inti.
- Selanjutnya RNAd yang terbentuk akan meninggalkan inti menuju ribosom.
- Setelah RNAd berada pada ribosom maka RNAt akan mengikat asam amino yang sesiuai dengan kode genetic yang dibawa RNAd.
- Asam amino tersebut akan berderet-deret sesuai dengan urutan polipeptidak yang diharapkan sesuai dengan perintah pembentukan protein
A. guanin
B. adenin
C. urasil
D. timin
E. sitosin
Jawaban: C
Pembahasan: Basa nitrogen DNA terdiri dari golongan purin yaitu adenine (A) dan guanin (G), serta golongan pirimidin, yaitu sitosin ©, dan timin (T). tidak ada urasil.
CAT CGA AAT
Apabila terjadi transkripsi maka urutan basa nitrogen RNAd yang terbentuk adalah
A. GTA GCT TTA
B. GTU GTC TTU
C. CUA CGU UUA
D. CAU CGA AAU
E. GUA GCU UUA
Jawaban: D
Pembahasan : rantai DNA terbentuk dari dua untai rantai yaitu rantai antisense dan rantai sense. Rantai sense memiliki basa nitrogen yang saling berpasangan dengan basa nitrogen rantai antisense. Basa nitrogen purin akan berikatan dengan pirimidin melalui ikatan hidrogen. Pada soal diketahui bahwa rantai sensenya adalah CAT CGA AAT maka urutan rantai anti sensenya adalah GTA CGT TTA.
31. Bahan dasar yang dibutuhkan dalam sintesis protein, yaitu … .
A. asam amino
B. asam lemak
C. karbohidrat
D. mineral
E. zat gula
Jawaban: A
Pembahasan: Penyusun dasar protein merupakan asam aminio, maka bahan dasar yang dibutuhkan untuk mensistesis protein merupakan asam amino.
A. 3 basa nitrogen tertentu
B. 3 nukleotida
C. kumpulan polipeptida
D. 3 RNA duta
E. 3 DNA
Jawaban: A
Pembahasan: Asam amino tersusun atas 3 buah basa nitrogen tertentu yang dikenal sebagai tripleti. Setiap urutan tiga basa nitrogen tersebut memiliki arti khusus yang dapat diterjemahkan dalam proses translasi. Urutan 3 basa nitrogen ini disebut juga sebagai kodon.
33. Bagian dari kromosom yang didalamnya tidak terdapat gen dan tidak menyerap warna adalah ….
A. kromatid
B. kromomer
C. kromonema
D. lengan
E. sentromer
Jawaban: E
Pembahasan: Sentromer tidak mengandung gen.
34. Pernyataan yang salah tentang DNA adalah ….
A. rantainya double helix
B. gulanya deoksiribosa
C. basa nitrogennya: C, T, A, G
D. letaknya di ribosom, sitoplasma, nukleus, plastida
E. fungsinya sebagai pengendali faktor keturunan
Jawaban: D
Pembahasan: DNA tidak terdapat di sitoplasma.
34. Berikut ini bukan merupakan proses yang terjadi pada sintesis protein adalah ….
A. RNAd keluar dari inti sel menuju ribosom
B. RNAd dibentuk oleh DNA di dalam sitoplasma
C. RNAt membawa asam amino menuju ribosom
D. DNA merancang sintesis protein
E. Di dalam ribosom terdapat RNAr
Jawaban: B
Pembahasan: RNAd dibentuk oleh DNA di nukleus bukan di sitoplasma.
A. RNAd keluar dari inti sel menuju ribosom
B. RNAd dibentuk oleh DNA di dalam sitoplasma
C. RNAt membawa asam amino menuju ribosom
D. DNA merancang sintesis protein
E. Di dalam ribosom terdapat RNAr
Jawaban: B
Pembahasan: RNAd dibentuk oleh DNA di nukleus bukan di sitoplasma.
36. Selama berlangsungnya tahap transasi pada sintesis protein terjadi peristiwa…
A. Duplikasi rantai DNA
B. Membukanya rantai DNA
C. Pencetakan dRNA oleh DNA
D. Pengenalan daerah gen DNA
E. Penerjemahan dRNA oleh tRNA
Jawaban: E
Pembahasan:
Mekanisme sintesis protein terjadi dalam 2 tahap, yaitu transkripsi dan translasi. Tramskripsi merupakan proses pencetakkan atau penulisan ulang DNA ke dalam mRNA. Proses ini terjadi di dalam nucleus. Translasi adalah proses penerjemahan informasi genetic yang terdapat pada dRNA oleh tRNA menjadi urutan asam amino polipeptida. Tahap ini terjadi di dalam sitoplasma dengan bantuan ribosom. Proses duplikasi rantai DNA , membukanya rantai DNA, pencetakkan RNA dan DNA, dan pengenalan daerah gen berlangsung pada tahap transkripsi.
A. RNAd keluar dari inti sel menuju ribosom
B. RNAd dibentuk oleh DNA di dalam sitoplasma
C. RNAt membawa asam amino menuju ribosom
D. DNA merancang sintesis protein
E. Di dalam ribosom terdapat RNAr
Jawaban : B
Pembahasan: RNAd dibentuk oleh DNA di nukleus bukan di sitoplasma.
38. Diagram langkah sintesis protein

Bagian X pada diagram di atas adalah …
A. DNA
B. tRNA
C. mRNA
D. rRNA
E. rantai sense
Jawaban : C
Pembahasan : Proses translasi dilakukan oleh RNAt
39. Antikodon yang dihasilkan dari proses transkripsi AAA CCC ACA GUS adalah …….
A. AAA SSS SGG ASG
B. AAA SSS SGG ASG
C. UUU GGG UGU SAG
D. UUU SSS SGS ASG
E. AAA SSS SGA ASG
Jawaban : C
Pembahasan : Kodogen Kodon Antikodon . PiciU PuGA
40. Manakah dari berikut ini kovalen menghubungkan segmen DNA?
A. helikase
B. DNA polimerase III
C. ligase
D. DNA polimerase I
E. primase
Jawaban: C
Pembahasan: Ligase penting dalam sintesis dan perbaikan berbagai molekul biologis karena setiap kelas enzim yang mengkatalisis pembentukan ikatan kovalen menggunakan energi yang dilepaskan oleh pembelahan ATP.
41. Fungsi ADN adalah …….
A. berhubungan dengan sintesis protein dan kadarnya tetap
B. tidak berhubungan dengan sintesis protein dan kadarnya protein
C. berhubungan dengan pengendalian factor keturunan dan sintesis protein
D. berhubungan dengan sintesis protein dan kadarnya berubah-ubah
E. berhubungan dengan sintesis protein dan factor keturunan serta kadarnya berubah-ubah
Jawaban : A
Pembahasan : Fungsi ADN adalah : berhubungan dengan sintesis protein, adanya tidak dipengaruhi oleh sintesis protein, berhubungan dengan penurunan sifat.
42. Diketahui: Gen P = warna kuning; gen Q = daun lebar. Persilangan antara individu bergenotipe PpQq dengan sesamanya akan menghasilkan keturunan sebanyak 320 individu.
Kemungkinan keturunannya yang berwarna kuning dan berdaun lebar ada sebanyak .... a. 20
b. 40
c. 60
d. 180
e. 320
Pembahasan:
Persilangan 2 sifat beda menghasilkan perbandingan 9:3:3:1. Daun lebar warna kuning =
Jawaban: d
43. Warna biji gandum merah ditentukan oleh gen M1 dan M2. Warna putih ditentukan oleh gen m1 dan m2. Dari hasil persilangan didapat ratio warna merah : putih = 1:1. Maka genotipe kedua induknya adalah ....
a. M1M1M2M2 x m1m1m2m2
b. M1m1M2m2 x M1m1M2m2
c. M1m1M2m2 x M1M1m2m2
d. M1m1m2m2 x m1m1m2 m2
e. M1m1M2m2 x m1m1M2m2
Pembahasan:
M1m1m2m2 x m1m1m2m2
M1m1m2m2 : m1m1m2m2
merah : putih
Jawaban: d
44. Lalat buah (Drosophila sp.) dengan kromosom XXY merupakan akibat dari peristiwa ....
a. sex linkage
b. crossing over
c. gen letal
d. poligen
e. nondisjunction
Pembahasan:
XXY terjadi karena tidak terpisahnya kromatid dan kromosom homolog menuju kutub berlawanan.
Jawaban: e
45. Pada Drosophilla sp. Mata merah dominan tehadap putih. Gen yang bertanggung jawab terhadap warna mata terpaut kromosom seks X. Jika disilangkan lalat betina mata merah dengan jantan mata putih, lalu antarketurunannya disilangkan dengan sesamanya, maka akan dihasilkan keturunan ....
a. 50% pria mata merah ; 25% wanita mata putih ; wanita 25% mata merah
b. 50% pria mata merah ; 50% wanita mata putih
c. 75% pria mata merah ; 25% wanita mata putih
d. 25% pria mata merah ; 25% pria mata putih ; 25% wanita mata merah ; 25% wanita mata putih
e. 25% pria mata merah ; 25% pria mata putih ; 50% wanita mata putih
Pembahasan:
p. pria xmxm × wanita xy
f1. xmx × xmy
f2. pria merah (xmxm dan xmx) = 50%
wanita merah (xmy) = 25%
wanita putih (xy) = 25%
Jawaban: a
46. Perhatikan pedigree berikut ini.

Gambar yang diarsir adalah penderita Haemofilia.
Berdasarkan pedigree tersebut, genotipe ibu adalah ....
a. IBIB XHXH
b. IBIB XHXh
c. Ibi XHXH
d. Ibi XHXh
e. IAIB XHXh
Pembahasan:
IAIAXHY × IBIBXHXh
• IAIAXHXH ⇒ normal pria
• IAIBXHXh
• IAIBXHY
• IAIBXhY ⇒ hemofilia wanita
Jawaban: b
Ini ada catatan mungkin lebih lengkap untuk mensweeping materi yang belum begitu jelas menjadi jelas KLIK aja ini OK semoga lebih baik
AGAIN
1. Jika rantai DNA adalah ATT GTA AAA CGG, kode genetik yang dibawa oleh mRNA pada sintesis protein adalah…
A. TAA CAT TTT CGG
B. ATT GTA AAA GCC
C. AUU GTA UUU GCC
D. AUU GUA AAA CGG
E. UAA CAU UUU GCC
Pembahasan:
Urutan sintesis protein sebagai berikut
DNA rantai sense : ATT-GTA-AAA-CGG
DNA rantai antisense :TAA-CAT-TTT-GCC
Rantai kodon mRNA : UAA-CAU-UUU-GCC
2. Selama berlangsungnya tahap transasi pada sintesis protein terjadi peristiwa…
A. Duplikasi rantai DNA
B. Membukanya rantai DNA
C. Pencetakan dRNA oleh DNA
D. Pengenalan daerah gen DNA
E. Penerjemahan dRNA oleh tRNA
Pembahasan:
Mekanisme sintesis protein terjadi dalam 2 tahap, yaitu transkripsi dan translasi. Tramskripsi merupakan proses pencetakkan atau penulisan ulang DNA ke dalam mRNA. Proses ini terjadi di dalam nucleus. Translasi adalah proses penerjemahan informasi genetic yang terdapat pada dRNA oleh tRNA menjadi urutan asam amino polipeptida. Tahap ini terjadi di dalam sitoplasma dengan bantuan riboso,. Proses duplikasi rantai DNA , membukanya rantai DNA, pencetakkan RNA dan DNA, dan pengenalan daerah gen berlangsung pada tahap transkripsi.
3. Di bawah ini tahap-tahap sintesis protein.
1) DNA membentuk RNA duta di dalam inti sel
2) Asam-asam amino diangkut oleh tRNA dari sitoplasma
3) RNA duta keluar dari inti sel
4) Terbentuk polipeptida
5) Asam-asam amino terangkai dalam ribosom
Urutan tahapan sisntesis protein adalah…(UN Biologi 2013)
A. 1-2-3-4-5
B. 1-3-2-4-5
C. 1-3-2-5-4
D. 2-3-1-4-5
E. 2-4-5-1-3
Pembahasan:
Sintesis protein tersiri atas 2 tahap, transkripsi dan translasi. Transkripsi meliputi proses duplikasi DNA membentuk dRNA dakam inti sel. Setelah itu, dRNA keliar dari inti sel dan asam-asam amino diangkut oleh tRNA dari sitoplasma. Translasi meliputi proses perangkaian asam-asam amino dalam ribosom dan terbentuklah polipeptida. Jadi urutan yang benar adalah 1-3-2-5-4.
4. Proses translasi akan berhenti ketika pembacaan bertemu dengan kodon terminasi (kodon stop), yaitu ….(Detik-detik 2012/2013)
a. AUG
b. AGU
c. UUU
d. UGC
e. UAA
Pembahasan:

Protein yang ditranslasikan sebagai stop kodon merupakan UAA, UAG, dan UGA
5. Translasikan protein berikut ini! (Detik-detik 2013/2014)
UGC-GAG-UAU-GCG

A. serin – asam glutamat – tirosin – alanin
B. leusin – tirosin – asam glutamat – isoleusin
C. tirosin – isoleusin – arginin – sistein
D. treonin – leusin – isoleusin – arginin
E. alanin – tirosin – isoleuisn – serin
Pembahasan:
Dengan menggunakan tabel yang sudah diberikan, kita bisa memasukkan pengkodean untuk ditranslasikan.
6. Bahan dasar yang dibutuhkan dalam sintesis protein, yaitu . . . .(Detik-detik 2012/2013)
A. asam amino
B. asam lemak
C. karbohidrat
D. mineral
E. zat gula
Pembahasan
Penyusun dasar protein merupakan asam aminio, maka bahan dasar yang dibutuhkan untuk mensistesis protein merupakan asam amino.
Mekanisme sintesis protein terjadi dalam 2 tahap, yaitu transkripsi dan translasi. Tramskripsi merupakan proses pencetakkan atau penulisan ulang DNA ke dalam mRNA. Proses ini terjadi di dalam nucleus. Translasi adalah proses penerjemahan informasi genetic yang terdapat pada dRNA oleh tRNA menjadi urutan asam amino polipeptida. Tahap ini terjadi di dalam sitoplasma dengan bantuan riboso,. Proses duplikasi rantai DNA , membukanya rantai DNA, pencetakkan RNA dan DNA, dan pengenalan daerah gen berlangsung pada tahap transkripsi.
3. Di bawah ini tahap-tahap sintesis protein.
1) DNA membentuk RNA duta di dalam inti sel
2) Asam-asam amino diangkut oleh tRNA dari sitoplasma
3) RNA duta keluar dari inti sel
4) Terbentuk polipeptida
5) Asam-asam amino terangkai dalam ribosom
Urutan tahapan sisntesis protein adalah…(UN Biologi 2013)
A. 1-2-3-4-5
B. 1-3-2-4-5
C. 1-3-2-5-4
D. 2-3-1-4-5
E. 2-4-5-1-3
Pembahasan:
Sintesis protein tersiri atas 2 tahap, transkripsi dan translasi. Transkripsi meliputi proses duplikasi DNA membentuk dRNA dakam inti sel. Setelah itu, dRNA keliar dari inti sel dan asam-asam amino diangkut oleh tRNA dari sitoplasma. Translasi meliputi proses perangkaian asam-asam amino dalam ribosom dan terbentuklah polipeptida. Jadi urutan yang benar adalah 1-3-2-5-4.
4. Proses translasi akan berhenti ketika pembacaan bertemu dengan kodon terminasi (kodon stop), yaitu ….(Detik-detik 2012/2013)
a. AUG
b. AGU
c. UUU
d. UGC
e. UAA
Pembahasan:

Protein yang ditranslasikan sebagai stop kodon merupakan UAA, UAG, dan UGA
5. Translasikan protein berikut ini! (Detik-detik 2013/2014)
UGC-GAG-UAU-GCG

A. serin – asam glutamat – tirosin – alanin
B. leusin – tirosin – asam glutamat – isoleusin
C. tirosin – isoleusin – arginin – sistein
D. treonin – leusin – isoleusin – arginin
E. alanin – tirosin – isoleuisn – serin
Pembahasan:
Dengan menggunakan tabel yang sudah diberikan, kita bisa memasukkan pengkodean untuk ditranslasikan.
6. Bahan dasar yang dibutuhkan dalam sintesis protein, yaitu . . . .(Detik-detik 2012/2013)
A. asam amino
B. asam lemak
C. karbohidrat
D. mineral
E. zat gula
Pembahasan
Penyusun dasar protein merupakan asam aminio, maka bahan dasar yang dibutuhkan untuk mensistesis protein merupakan asam amino.
7. Pada tahap transkripsi dimulai dengan membukanya pita “Double Helix” oleh enzim . . .
A. RNA polymerase
B. DNA polymerase
C. RNA transkriptase
D. DNA transkriptase
E. DNA endonuclease
Pembahasan
RNA Polimerase yang membuka pita double-helix seperti pada di gambar, ketika proses transkripsi berlangsung.

8. Pita DNA yang berfungsi sebagai pencetakan RNA disebut . . . .
A. pita template
B. pita antisense
C. pita RNA
D. basa nitragen
E. antikodon
Pembahasan

Sama seperti dijelaskan digambar, RNA mencetak dari DNA template.
9. Tahapan sintesis protein:
A. RNA polymerase
B. DNA polymerase
C. RNA transkriptase
D. DNA transkriptase
E. DNA endonuclease
Pembahasan
RNA Polimerase yang membuka pita double-helix seperti pada di gambar, ketika proses transkripsi berlangsung.

8. Pita DNA yang berfungsi sebagai pencetakan RNA disebut . . . .
A. pita template
B. pita antisense
C. pita RNA
D. basa nitragen
E. antikodon
Pembahasan

Sama seperti dijelaskan digambar, RNA mencetak dari DNA template.
9. Tahapan sintesis protein:
1.Penempelan RNA polymerase pada molekul DNA
2.Pergerakan RNA polymerase sehingga Dihasilkan rantai DNA
3.Pemisahan rantai dari template
4.Penambahan senyawa kimia sehingga Dihasilkan M rna lengkap
Tahapan selanjutnya dari sintesis protein tersebut (tahap ke-5)adalah….(UN Biologi 2011)
A. pembuatan rangkaian asamamino yang dibawa oleh tRNA
B. mRNA selesai dicetak meninggalkan nukleus menuju sitoplasma
C. pengenalan kodon AUG oleh subu nitribosom besar
D. pemasangan sub unit ribosom besar
E. pengenalan kodon UAG oleh ribosom
Pembahasan
Pembahasan: prosesn sintesis protein meliputi tahap-tahap:
1. transkripsi : pencetakan mRNA di nukleus kemudian menuju ke ribosom (di sitoplasma)
2. translasi : mRNA membawa kode ke RNA, kemudian penyusunan protein berdasarkan kode mRNA
10. DNA dan RNA memiliki persamaan dalam hal ….(UN Biologi 2010)
A. Bentuk rantai
B. Tempat terdapatnya
C. Kandungan basa nitrogen golongan pirimidin
D. Kandungan basa nitrogen golongan purin
E. Komponen gula penyusunnya
Pembahasan
Basa nitrogen dalam purin di DNA maupun di RNA adalah Guanin dan Adenin, sedangkan primidin di dalam DNA merupakan Sitokinin dan Timin, di RNA Sitokinin dan Urasil
11. Berikut ini adalah beberapa kodon dengan asam amino yang diikatnya. (Detik-detik 2012/2013)
Kodon Asam amino
2.Pergerakan RNA polymerase sehingga Dihasilkan rantai DNA
3.Pemisahan rantai dari template
4.Penambahan senyawa kimia sehingga Dihasilkan M rna lengkap
Tahapan selanjutnya dari sintesis protein tersebut (tahap ke-5)adalah….(UN Biologi 2011)
A. pembuatan rangkaian asamamino yang dibawa oleh tRNA
B. mRNA selesai dicetak meninggalkan nukleus menuju sitoplasma
C. pengenalan kodon AUG oleh subu nitribosom besar
D. pemasangan sub unit ribosom besar
E. pengenalan kodon UAG oleh ribosom
Pembahasan
Pembahasan: prosesn sintesis protein meliputi tahap-tahap:
1. transkripsi : pencetakan mRNA di nukleus kemudian menuju ke ribosom (di sitoplasma)
2. translasi : mRNA membawa kode ke RNA, kemudian penyusunan protein berdasarkan kode mRNA
10. DNA dan RNA memiliki persamaan dalam hal ….(UN Biologi 2010)
A. Bentuk rantai
B. Tempat terdapatnya
C. Kandungan basa nitrogen golongan pirimidin
D. Kandungan basa nitrogen golongan purin
E. Komponen gula penyusunnya
Pembahasan
Basa nitrogen dalam purin di DNA maupun di RNA adalah Guanin dan Adenin, sedangkan primidin di dalam DNA merupakan Sitokinin dan Timin, di RNA Sitokinin dan Urasil
11. Berikut ini adalah beberapa kodon dengan asam amino yang diikatnya. (Detik-detik 2012/2013)
Kodon Asam amino
CAA Glutamin
CCU Prolin
AUC Isoleusin
UCU Serin
Bila urutan asam amino yang terbentuk adalah prolin, isoleusin, glutamine, dan serin, maka urutan basa nitrogen dari DNA sense adalah ….
A. UAG, GGA, CAU, AGA
B. UAG, GGA, CAT, AGA
C. GGA, TAG, GTT, AGA
D. TAG, GGA, CAU, AGA
E. ATC, CCT, GTA, TCT
Pembahasan
Rantai kodon mRNA : CCU AUC CAA UCU
Rantai asntisense : CCT ATC AAC TCT
Rantai sense : GGA TAG TTG AGA
12. Perhatikan susunan basa nitrogen DNA dan table dibawah ini. (UN Biologi 2011)
GGC CAT AGG TCG Sense
CCG GTA TCC AGC Antisense
Nama Asam amino Kode kodon
Glisin GGC
Glutamin CAA
Histidin CAU
Prolin CCG
Arginin AGG
Serin UCG
Rangkaian asam amino yang akan terbentuk dari proses transkipsi dan translasi pada rantai DNA diatas adalah ….
A. Glisin – histidin – arginin – serin
B. Serin – arginin – histidin – glisin
C. Glisin – glutamin – histidin – prolin
D. Serin – glutamine – arginin – prolin
E. Histidin – glutamine – serin – arginin
Pembahasan
Cara mentranslasikan kode-kode tersebut adalah dengan menggunakan mRNA. mRNA dari DNA tersebut adalah GGC CAU AGG UCG, maka translasi dari DNA di atas adalah glisin – histidin – arginin – serin
13. Berikut ini bukan merupakan proses yang terjadi pada sintesis protein adalah …. (Detik-detik biologi)
A. RNAd keluar dari inti sel menuju ribosom
B. RNAd dibentuk oleh DNA di dalam sitoplasma
C. RNAt membawa asam amino menuju ribosom
D. DNA merancang sintesis protein
E. Di dalam ribosom terdapat RNAr
Pembahasan
RNAd dibentuk oleh DNA di nukleus bukan di sitoplasma.
14. Rantai DNA sense mempunyai kode basa nitrogen sebagai berikut. (Detik-detik biologi)
TGC – CGG – ACT – AAA – TCT
Maka urutan basa nitrogen pada RNAt adalah ….
A. UGC – CGG – ACU – AAA – UCU
B. ACG – GCC – TGA – TTT – AGA
C. ACG – GCC – UGA – UUU – AGA
D. TGC – CGG – ACT – AAA – TCT
E. UCG – GCC – TGU – TTT – UGU
Pembahasan
DNA TGC-CGG-ACT-AAA-TCT
RNAd ACG-GCC-UGA-UUU-AGA
RNAt UGC-CGG-ACU-AAA-UGU
15. Apa akibat yang disebabkan akibat terjadinya kesalahan pada transkripsi oleh RNAt…(Ebtanas)
A. Kesalahan pembentukan protein.
B. Kesalahan pada bentuk tubuh
C. Kesalahan pada struktur tubuh
D. Kesalahan saraf
E. Kesalahan sistem ekskresi
Pembahasan
Pada proses transkripsi urutan kode genetic dari DNA dibawa oleh RNAt ke ribosom tempat terjadinya pembentukan asam amino yang termasuk kodon stop adalah UAA, UAG, DAN UGA, sedangkan kodon start adalah AUG
TRY AGAIN
SILAHKAN KLIK INI UNTUK MENUTUP MATERI SEHINGGA PERFECT
a. Inti sel
CCU Prolin
AUC Isoleusin
UCU Serin
Bila urutan asam amino yang terbentuk adalah prolin, isoleusin, glutamine, dan serin, maka urutan basa nitrogen dari DNA sense adalah ….
A. UAG, GGA, CAU, AGA
B. UAG, GGA, CAT, AGA
C. GGA, TAG, GTT, AGA
D. TAG, GGA, CAU, AGA
E. ATC, CCT, GTA, TCT
Pembahasan
Rantai kodon mRNA : CCU AUC CAA UCU
Rantai asntisense : CCT ATC AAC TCT
Rantai sense : GGA TAG TTG AGA
12. Perhatikan susunan basa nitrogen DNA dan table dibawah ini. (UN Biologi 2011)
GGC CAT AGG TCG Sense
CCG GTA TCC AGC Antisense
Nama Asam amino Kode kodon
Glisin GGC
Glutamin CAA
Histidin CAU
Prolin CCG
Arginin AGG
Serin UCG
Rangkaian asam amino yang akan terbentuk dari proses transkipsi dan translasi pada rantai DNA diatas adalah ….
A. Glisin – histidin – arginin – serin
B. Serin – arginin – histidin – glisin
C. Glisin – glutamin – histidin – prolin
D. Serin – glutamine – arginin – prolin
E. Histidin – glutamine – serin – arginin
Pembahasan
Cara mentranslasikan kode-kode tersebut adalah dengan menggunakan mRNA. mRNA dari DNA tersebut adalah GGC CAU AGG UCG, maka translasi dari DNA di atas adalah glisin – histidin – arginin – serin
13. Berikut ini bukan merupakan proses yang terjadi pada sintesis protein adalah …. (Detik-detik biologi)
A. RNAd keluar dari inti sel menuju ribosom
B. RNAd dibentuk oleh DNA di dalam sitoplasma
C. RNAt membawa asam amino menuju ribosom
D. DNA merancang sintesis protein
E. Di dalam ribosom terdapat RNAr
Pembahasan
RNAd dibentuk oleh DNA di nukleus bukan di sitoplasma.
14. Rantai DNA sense mempunyai kode basa nitrogen sebagai berikut. (Detik-detik biologi)
TGC – CGG – ACT – AAA – TCT
Maka urutan basa nitrogen pada RNAt adalah ….
A. UGC – CGG – ACU – AAA – UCU
B. ACG – GCC – TGA – TTT – AGA
C. ACG – GCC – UGA – UUU – AGA
D. TGC – CGG – ACT – AAA – TCT
E. UCG – GCC – TGU – TTT – UGU
Pembahasan
DNA TGC-CGG-ACT-AAA-TCT
RNAd ACG-GCC-UGA-UUU-AGA
RNAt UGC-CGG-ACU-AAA-UGU
15. Apa akibat yang disebabkan akibat terjadinya kesalahan pada transkripsi oleh RNAt…(Ebtanas)
A. Kesalahan pembentukan protein.
B. Kesalahan pada bentuk tubuh
C. Kesalahan pada struktur tubuh
D. Kesalahan saraf
E. Kesalahan sistem ekskresi
Pembahasan
Pada proses transkripsi urutan kode genetic dari DNA dibawa oleh RNAt ke ribosom tempat terjadinya pembentukan asam amino yang termasuk kodon stop adalah UAA, UAG, DAN UGA, sedangkan kodon start adalah AUG
TRY AGAIN
Istilah yang digunakan untuk menggambarkan proses bertahap DNA-->RNA-->Protein:
A. Transkripsi
B. Dogma sentral
C. Tranlasi
D. Ekspresi
E. Terminasi
2. Segmen DNA yang biasanya terletak di bagian hulu daerah pengkode suatu gen dan berfungsi sebagai elemen pengaturan ekspresi gen:
A. promoter
B. kodon “start”
C. kodon “stop”
D. 5’UTR
E. ekson
3. Daerah DNA dalam gen eukariotik yang menyandi polipeptida disebut:
A. intron
B. ekson
C. rRNA
D. 5'UTR
E. tRNA
4. Molekul di bawah ini berperan membawa asam amino dalam proses sintesis protein:
A. mRNA
B. rRNA
C. hnRNA
D. RNA polimerase
E. tRNA
5. Pengaturan gen-gen mana yang akan disalin menjadi RNA adalah salah satu cara pengaturan ekspresi gen diferensial yang disebut:
A. Trankripsi gen secara diferensial
B. Pemrosesan RNA secara selektif
C. Translasi mRNA secara selektif
D. Modifikasi protein secara diferensial
E. Semua jawaban benar
6. Triplet nukleotida, pada posisi 34-36 pada suatu molekul tRNA, yang akan membentuk pasangan basa dengan triplet nukleotida molekul mRNA dalam proses translasi:
A. antikodon
B. daerah pengkode (coding sequences)
C. kodon
D. promoter
E. Semua jawaban benar
7. Semua asam amino mempunyai kodon lebih dari satu, KECUALI asam amino:
A. Leusin
B. Isoleusin
C. Serin
D. Metionin
E. Histidin
8. Pewarisan ketidaknormalan disebabkan oleh adanya gen pada salah satu X kromosom yang mengalami ketidaknormalan:
A. Autosomal dominan
B. Autosomal resesif
C. Modified autosomal
D. Sex-link inheritance
E. semua jawaban benar
9. Pengujian/test yang dilakukan dalam genetika reproduksi:
A. Carrier testing
B. Preimplantation diagnostic
C. Prenatal diagnosis
D. Newborn screening
E. Semua jawaban benarSILAHKAN KLIK INI UNTUK MENUTUP MATERI SEHINGGA PERFECT
1. Fungsi DNA pada sel makhluk hidup yaitu...
a. Membawa informasi genetik
b. Sebagai sumber energi
c. Sebagai pembangun enzim
d. Sebagai pelindung
2. Komponen Pembangun DNA yaitu...
a. gula ribosa, basa sitosin, timin, guanin, dan adenin
b. gula deoksiribosa, basa sitosin, urasil, guanin, dan adenin
c. gula ribosa, basa timin, guanin, adenin, dan sitosin
d. gula deoksiribosa, fospat, basa adenin, guanin, sitosin, dan timin.
3. Salah satu perbedaan DNA dan RNA adalah...
a. DNA mengandung gula deosiribosa dan tidak mengandung basa urasil sedangkan
RNA mengandung gula ribosa dan basa urasil.
b. DNA mengandung gula ribosa dan mengandung basa timin sedangkan RNA
mengandung gula deoksiribosa dan basa timin.
c. DNA mengandung gula deosiribosa dan tidak mengandung basa timin sedangkan
RNA mengandung gula ribosa dan basa urasil.
d. DNA banyak terdapat dalam protoplasma sedangkan RNA banyak terdapat di inti.
4. Perhatikan gambar kromosom di bawah ini, nomor 2 dan 3 kromosom dengan bentuk a. metasentrik dan akrosentik
b. akrosentrik dan telosentrik
c. sub metasentrik dan telosentrik
d. metasentrik dan telosentrik
5. Pada sebuah sel sperma terdapat 24 kromosom, maka rumus kromosom pada sel
kelaminnya adalah ...
a. 23A + X
b. 11A + X
c. 24A + X
d. 22AA +XY
6. Basa nitrogen yang terletak pada RNA adalah ...
a. Primidin (sitosin, guanin), purin (Adenin, Urasil)
b. Purin (sitosin, urasil), pirimidin (Adenin, guanin)
c. Purin (sitosin, guanin), Pirimidin (Adenin, Urasil)
d. Pirimidin (Adenin, Sitosin), Purin (guanin, urasit)
7. Yang bertindak sebagai arsitek atau perancang pola penyusunan protein adalah ...
a. DNA
b. RNAd
c. RNAt
d. RNAr
8. Perhatikan rantai DNA berikut untuk soal no. 38 dan 39
1 2 3 4Kode pada RNA duta yang terbentuk adalah ...
a. UAG – GAU
b. UAG – SUA
c. TAG – STA
d. AUS – GAU
9. Kode genetik pada RNA tranfer adalah ...
a. AUS – TAU
b. AUS – GAU
c. UAG – SUA
d. AUS – SUA
10. Berikut adalah ciri – ciri asam nukleat!
1. Double helix
2. Rantai tunggal
3. Rantai pendek
4. Ada basa urasil
5. Dapat melakukan transkripsi
6. hanya ada di inti sel
Asam ribo nukleat memiliki ciri – ciri ...
a. 2,3,6
b. 1,4,5
c. 1,4,6
d. 2,3,4
11. Proses sintesis protein terjadi pada...
a. Inti sel
b. Sitoplasma
c. Inti sel dan sitoplasma
d. Ribosom
12. Bagian dari struktur RNAt yang akan berpasangan dengan RNAd disebut...
a. lengkungan
b. sense
c. antikodon
d. kodon
13. Pada awal proses sintesis protein, molekul RNAt awal akan melekat pada...
a. subunit besar ribosom
b. subunit kecil ribosom
c. A-site pada ribosom
d. Stop kodon dari RNAd
14. Melekatnya asam amino pada molekul RNAt dipacu oleh enzim....
a. polimerase RNA
b. aminoasil-RNAt sintetase
c. transkriptase RNA
d. endonuklease
15. Ribosom pada eukariotik terdiri dari...
a. subunit besar (60 S) dan subunit kecil (40 S)
b. subunit besar (50 S) dan subunit kecil (30 S)
c. RNAr 5S dan RNA 23 S
d. RNAd dan RNAr 28 S
16. Pada struktur ”double helix” DNA, kedua basa N berpasangan dengan ikatan . . . .
a. nitrogen
b. hidrogen
c. fosfat
d. kromosom
e. gen
17. Pasangan basa N adenin pada mRNA yaitu . . . .
a. urasil (U)
b. guanin (G)
c. adenin (A)
d. sitosin (S)
e. timin (T)
18. Hampir semua sel pada suatu hewan mengandung gen-gen yang sama. Sel-sel tersebut mempunyai struktur dan fungsi yang berbeda karena perbedaan dari sintesis molekul . . . .
a. tRNA
b. ribosom
c. mRNA
d. rRNA
e. histon
19. Secara garis besar langkah pencetakan protein terjadi melalui 2 tahap yaitu . . . .
a. replikasi dan sintesis
b. translasi dan replikasi
c. transkripsi dan translasi
d. sintesis dan replikasi
e. sintesis dan translasi
20. Dari diagram sintesis protein di samping, yang berlabel X merupakan . . . .
a. RNA
b. mRNA
c. rRNA
d. tRNA
e. DNA
21. Rantai RNA yang ”mencetak” mRNA disebut rantai . . . .
a. polimerase
b. antisense
c. sense
d. peptida
e. polipeptida
22. Kodon yang diperlukan untuk mengakhiri
sintesis polipeptida yaitu . . . .
a. AUG
b. UAG
c. USG
d. SGA
e. AAU
23. Berdasarkan gambar nukleotida, komponen penyusun nukleotida nomor 1, 2, dan 3 secara berurutan merupakan . . . .
a. gula, basa, dan fosfat
b. basa, gula, dan fosfat
c. basa, fosfat, dan gula
d. fosfat, basa, dan gula
e. gula, fosfat, dan basa
24. Poli-U yang dimasukkan ke dalam campuran berbagai asam amino akan terbentuk rangkaian . . . .
a. prolin
b. tirosin
c. glisin
d. lisin
e. fenilalanin
25. Tiga basa yang mensintesis suatu asam amino pada mRNA disebut . . . .
a. singlet
b. dublet
c. triplet
d. kodon
e. redudant1. Gen adalah subtansi genetika yang membawa sifat menurun. Gen terletak pada …
26 Perhatikan gambar kromosom di bawah ini!
Berdasarkan letak sentromer pada kromosom B dan D disebut dengan kromosom….
A. metasentrik dan submetasentrik
B. submetasentrik dan telosentrik
C. metasentrik dan akrosentrik
D. submetasentrik dan akrosentrik
E. telosentrik dan submetasentrik
27. Jumlah kromosom sel somatik manusia adalah ....
A. 44 A+XX / 44A+XY
B. 23 AA+XY / 23 AA+XY
C. 22 A+X / 22 A+Y
D. 44 AA+XX / 44 AA+YY
E. 22 AA+XX / 22 AA+YY
28. Jumlah kromosom sel sperma manusia adalah ....
A. 44 A+XX / 44A+XY
B. 23 AA+XY / 23 AA+XY
C. 22 A+X / 22 A+Y
D. 44 AA+XX / 44 AA+YY
C. 22 AA+XX / 22 AA+YY
29. Jumlah kromosom pada sel kelamin wanita adalah ...
A. 22 A + X
B. 23 AA + XY
C. 44 A + XX
D. 44 AA + XX
E. 22 AA + YY
30. Di bawah ini keterangan tentang struktur DNA dan RNA.
Terdapat dalam inti sel dan kromosom
Membentuk rantai tunggal
Berhubungan dengan sintesis protein
Mengandung pirimidin: cytosin dan urasil
Komponen gulanya ribosa
Mengandung purin: adenin dan guanin
Manakah struktur dan fungsi DNA yang benar ...
A. 1-2-3
B. 1-3-6
C. 2-4-5
D. 2-5-6
E. 1-3-5
31. Komponen DNA yang tersusun atas phosfat, gula, dan basa nitrogen membentuk . . . .
A. nukleotida
B. Ikatan hidrogen
C. nukleosida
D. double helix
E. polypeptide
32. Pada sebuah ikatan polinukleotida DNA yang menujukkan ikatan kimia yang kuat adalah ikatan hidrogen antara....
A. A dan T
B. G dan C
C. P dan T
D. A dan gula pentosa
E. Pospat dan gula
33. Basa nitrogen yang termasuk purin adalah . . . .
A. sitosin dan timin
B. adenin dan timin
C. sitosin dan guanin
D. adenin dan guanin
E. guanin dan timin
Perhatikan rangkaian DNA dibawah ini untuk menjawab nomor 34 dan 35
34.Bagian yang bernomor 1 – 2 – 3 – 4 adalah …
A. gula – pospat – timin – guanine
B. pospat – gula – timin – guanine
C. gula – pospat – adenine – cytosin
D. pospat – gula – adenine – cytosin
E. pospat – gula – sitosin – adenin
35.Satu nukleotida adalah rangkaian yang bersimbol…
A. 1-2-3-T
B. 2-3-4
C. 1-4-G
D. 1-2-3
E. 1-2-4-G
36. Fase-fase sintesa protein :
RNA d dibentuk di dalam inti oleh DNA
RNA d meninggalkan inti menuju ribosom
RNA t mengikat asam amino yang sesuai
Asam amino berderet sesuai dengan urutan kode genetik
Protein yang diperintahkan terbentuk
Urutan yang sesuai dengan sintesa protein adalah ....
A. 3, 2,1, 4, 5
B. 5, 4, 3, 2, 1
C. 1, 2, 3, 4, 5
D. 2, 3, 4, 1, 5
E. 3, 1, 2, 4, 5
37. Berikut ini adalah beberapa kodon dengan asam amino yang diikatnya!
Bila urutan asam amino yang terbentuk adalah isoleusin, prolin, valin, dan serin maka urutan basa nitrogen dari DNA sense adalah ....
A. TAG, GGA, CAT, AGA
B. TAG, GGA, CAU, AGA
C. UAG, GGA, CAU, AGA
D. ATC, CCT, GTA, TCT
E. UAG, GGA, CAT, AGA
38. Proses pembentukan RNA oleh DNA disebut ….
A. Translokasi
B. Transmisi
C. Translasi
D. Transformasi
E. Transkripsi
39. RNA akan membentuk cetakan untuk sintesis protein setelah menerima kode genetik dari DNA. Tempat berlangsungnya sintesis protein adalah….
A. Ribosom
B. Nukleus
C. Kromosom
D. Nukleolus
E. Gen
40. Jika kodon pada mRNA adalah AAU UGU AAA, maka DNA sensenya adalah ….
A. UUA AGA TTT
B. AAU AGA UUU
C. AAT TGT AAA
D. UUT UGU UUU
E. TTA ACA TTT
41. Salah satu fungsi DNA adalah menyusun protein. Mekanisme sintesis ini berturut-turut dari asam nukleat DNA dan RNA dapat dinyatakan sebagai berikut ...
A. DNA - RNA transfer - RNA duta
B. RNA transfer – RNA duta- DNA
C. RNA duta – DNA – RNA transfer
D. RNA duta – RNA transfer - DNA
E. DNA – RNA duta – RNA transfer
42. RNA yang berfungsi mengangkut asam amino guna dirangkai menjadi polipeptida adalah...
A. RNAr
B. RNAd
C. RNAt
D. DNA Sense
E. DNA Anti sense
43. Sintesis protein dimulai apabila ribosom telah bertemu kodon yang seharusnya. Kodon yang dimaksud adalah...
A. AUG
B. UGC
C. CGU
D. UAG
E. GAU
44. Sintesis protein akan berhenti apabila ribosom telah bertemu kodon yang seharusnya. Kodon yang dimaksud adalah...
A. AUG
B. UAG
C. CGU
D. UGC
E. GAU
45. Perhatikan gambar struktur DNA dibawah ini!
Berdasarkan diagram di atas, kodon RNAd-nya adalah…
A. AGC CCC ACC GGA
B. CGA CCC AGG GGA
C. AGC CGC ACG GGA
D. UGG CCC UCC GGU
E. AGC CCC ACG GGA
46. Sepotong DNA anti sense terdiri dari basa-basa nitrogen sbb
AGA AAT GGA CCG AGA
Bila terjadi transkripsi, maka RNAd yang terbentuk adalah
a. ACU,UUA,CCU,GGC,UCU
b. AGA,AAU,GGA,CCG,AGA
c. UCU,CCU,UUA,GGC,UCU
d. AGA,AAU,CCG,GGA,AGA
e. AAU,UCU,CCU,GGC,UCU
47. Seekor katak betina mempunyai 26 kromosom di dalam setiap sel somatisnya/sel tubuhnya. Artinya pada setiap sel telurnya terkandung kromosom
a. 12 autosom + 1 gonosom X
b. 12 pasang autosom + 1 pasang gonosom X
c. 12 autosom + 2 pasang gonosom X
d. 24 autosom + 1 gonosom X dan Y
e. 24 autosom + 2 gonosom
48. Simpanse yang jumlah kromosomnya 48 mempunyai jumlah autosom dan kromosom seks …
a. 24 dan 24 b. 40 dan 8 c. 8dan 40
d. 46 dan 2 e. 2 dan 46
49. Langkah-langkah sintesis Protein yang
benar adalah..
a. transkripsi-translasi-RNAd ke ribosom –RNAt+AA ke ribosom
b. translasi-transkripsi-RNAd ke ribosom –RNAt+AA ke ribosom
c. transkripsi-RNAd ke ribosom –RNAt+AA ke ribosom-translasi
d. translasi-RNAd ke ribosom –RNAt+AA ke ribosom- transkripsi
e. transkripsi -RNAd ke ribosom –RNAt+AA ke ribosom-translasi
50. Perhatikan data sintetis protein berikut
a. DNA membentuk RNAd
b. Penyusunan asam amino
c. RNAt membawa asam amino mentranslasi RNAd
d. Pembentukan protein
e. RNAd meninggalkan inti
Urutan yang tepat mengenai sintesis protein adalah
a. 1-2-3-4-5 c. 1-4-5-2-3 e. 1-5-3-2-4
b. 1-4-3-2-5 d. 1-5-2-3-4
51. Protein yang sudah jadi akan diangkut ke seluruh tubuh oleh organel sel. Organel sel ini adalah...
A. membran sel
B. mitokondria
C. retikulum endoplasma
D. ribosom
E. sitoplasma
52. Tabel dibawah ini adalah daftar kodon dan asam aminonya
Kodon Asam amino
SSU SERIN
SSA PROLIN
GGA GLUTAMIN
GUG VALIN
GSS ALANIN
Apabila urutan basa nitrogen DNA yang akan melakukan transkripsi adalah SSA,SST,GSS,GTG,GGA , urutan asam amino yang dibentuk adalah
a. serin-valin-glutamin-alanin-prolin
b. valin,alanin,valin,serin,prolin
c. valin-glutamin-alanin-serin-prolin
d. glutamine-alanin-valin-serin-proli
e. prolin,serin,alanin,valin,glutamin
53. Rantai DNA melakukan transkripsi sebagai berikut!
Anti sense GCT ACA ATG GTT GAG
RNAd yang terbentuk adalah….
a. CGA,UGU,UAC,CCA,CUC
b. GCU,ACA,AUG,GUU,GAG
c. UUG,AAC,UGU,ACA,AGA
d. CGA,UGU,UAC,AUU,CUC
e. UUG,UGU,UAC,AUU,CUC
54. Langkah-langkah sintesis protein yang benar adalah….
a. translasi:penterjemahan kode-transkripsi:pencetakan RNAt
b. translasi:penterjemahan kode-transkripsi:pencetakan RNAd
c. transkripsi:PencetakanRNAt-translasi:penterjemakan kode
d. transkripsi:pencetakan RNAd-translasi:penterjemahan kode
e. transkripsi dan translasi terjadi bersama-sama
55. Perhatikan daftar kodon dan asam amino berikut
SSU=PROLIN, AGA=ARGININ,UUU=PHENILALANIN, GGU=VALIN,AAA=LISIN, GGA=GLISIN, USU=SERIN
Bila urutan basa nitrogen dari rantai anti sense AAA,TST,SSA,GGT,AGA, maka rangkaian asam amino yang terbentuk adalah….
a. lisisn-arginin-valin-prolin,serin
b. lisisn-serin-prolin-glisin,fenilalanin
c. fenilalanin-glisin-arginin-prolin
d. fenilalanin-arginin-valin-glisin,serin
e. lisin-arginin-prolin-valin,serin
56. Dalam sel tubuh dan sel kelamin terdapat autosom dan kromosom seks. Pada ovum/sel telur manusia terdapat….
a. 22Autosom+X d. 22Autosom+YY
b. 22Autosom+Y e. 44Autosom+XX
c. 22Autosom+XX
57. Molekul DNA dan RNA keduanya…..
a. mengandung 4 macam basa nukleotida yang sama
b. merupakan polimer asam amino
c. mempunyai gula pentosa yang sama
d. mengandung gugus fosfat
e. terdiri dari double helix
58. Sintesis RNAd dalam sel tejadi di….
a. nucleus d. mitokondria
b. nucleolus e. RE
c. ribosom
59. Peristiwa transkripsi yang dilakukan oleh DNA sense memerlukan enzim….
a. DNA restriksi
b. RNA restriksi
c. DNA polymerase
d. RNA polymerase
e. DNA ligase
60. Sistem kromosom dimana letak sentromer agak jauh dari ujung kromosom dan biasanya berbentuk hruf L atau J adalah,,,,
a. a. telosentrik d. sub metasentrik
b. b. akrosentrik e. autosom
c. metasentrik
61. Pernyataan yang benar mengenai hubungan antara gen,kromosom dan mlekul DNA adalah….
a. kromosom tersusun atas moekul-molekul DNA
b. gen adalah untaian nukleotidadi dalam ADNyang terletak dalam kromosom
c. Kromosom merupakan benang panjang yang tersusun dari molekul-mlekul DNA, sepanjang untaian itumelekat untaian gen-gen yang menyerupai manik-manik
d. gen-gen terletak dalam kromosom dan macam gen
e. macam gen ditentukan oleh urutan basa N yang terletak dalam kromosom
62. Urutan basa nitrogen pada polipeptida DNA adalah AGSTTAAG, maka urutan basa N pada komplemen/pasangannya adalah….
a. AGSTTAAG d. STTAAGST
b. TSGAATTS e. USGAAUUS
c. AGSUUAAG
63. Kode-kode yang digunakan untuk menentukan susunan asam amino dalam sintesis protein adalah….
a. masing-masing pada polinukleotida
b. setiap dua basa pada rantai polinukleotida
c. setiap basa pada rantai polinukleotida
d. setiap tiga basa pada rantai polinukleotida
e. lebih dari empat basa pada rantai polinukleotida
64. Di bawah ini keterangan tentang struktur DNA dan RNA
1. terdapat dalam inti sel dan kromosom
2. membentuk rantai tunggal
3. berhubungan dengan sintesis protein
4. mengandung pirimidin; sitosin/urasil
5. mengandung purin: adenine dan guanine
6. kompponen gulanya ribose
Manakah steruktur dan fungsi DNA yang bebar?
a. 1-2-3 c. 1-3-5 e. 2-5-6
b. 1-2-4 d. 2-4-5
65. Berikut ini adalah data tentang beberapa fungsi RNA….
a. bertindak sebagai pola cetakan untuk membentuk polipeptida dengan jalan mengatur urutan asam amino dari polipeptida yang akan disusun.
b. Sebagai pembawa kode-kode genetika yang disebut kodon
c. Berfungsi untuk mengikat asam-asam amino yang akan disusun sebagai protein
d. Fungsinya berhubungan dengan sintesis protein
e. Sebagai cetakan untuk mensintesis protein dalam ribosom
Dari data di atas yang merupakan fungsi RNAt adalah….
a. 1 c. 3 e.4
b. 2 d.4
66. Salah satu fungsi DNA adalah menyusun protein. Sintesis protein ini terjadi di dalam ribosom. Mekanisme sintesis protein ini berturut-turut dari asam nukleat DNA dan RNA dapat dinyatakan sebagai berikut.…
a. DNA-RNAt-RNAd d. RNAt-RNAd-DNA
b. RNAd-DNA-RNAt e. RNAd-RNAt-DNA
c. DNA-NAd-RNAt
67. Rantai antisense dari molekul DNA adalah SGT AAG ATS GGA. Dalam transkripsi akan terbentuk RNAd dengan urutan basa….
a. GSA TTS TAG SST
b. SGU AAG AUS GGA
c. GSA UUS UAG SSU
d. SGT AAS GUS SST
e. SAT AAG GUS AAT
68. Komponen penyusun DNA dan RNA yang samaterdapat pada nomor….
KOMPONEN PENYUSUN DNA/RNA
1. Rantai polinukleotida
2. Asam fosfat
3. Basa pirimidin
4. Basa pirimidin
5. Basa purin
a. 2 dan 5 c. 2 dan 4 e. 3 dan 5
b. 1 dan 3 d. 1 dan 5
69. Seekor tikus jantan mempunyai 40 kromosom di dalam setiap sel somatisnya. Berarti pada setiap sel spermanya terkandung kromosom….
a. 19 autosom + 1 gonosom X
b. 19 autosom + 1 gonosom (X atau Y)
c. 19 pasang autosom + 1 pasang gonosom X
d. 38 autosom + 1 gonsom X-gonosom Y
e. 18 autosom + 2 gonosom
70. DNA memiliki struktur double helix. Kedua basa N pada komponen DNA berpasangan dengan ikatan
a. Nitrogen d. natrium
b. Fosfat e. karbon
c. hidrogen
71. Hipotesis replikasi DNA yang menyatakan bahwa “dua pita spiral double heliks memisahkan diri, kemudian setiap pita membentuk pasangan yag baru” adalah hippotesis….
a. Konservatif d. semidisversif
b. Dispersif e. komplementer
c. semikonservatif
72. Poli-U yang di masukkan dalam campuran berbagai asam amino akan membentuk rangkaian….
a. Prolin d. lisisn
b. Tirosin e. phenilalanin
c. Glisin
73. Rantai DNA yang mencetak mRNA disebut rantai….
a. Polymerase d. peptida
b. Antisense e. polipeptida
c. Sense
74. Enzim yang berfungsi menghidrolisis rantai ganda polinukleotida menjadi dua rantai tunggal polinukleotida adalah….
a. Helikase d. amilase
b. Polymerase e. protease
c. Ligase
75. Tiga basa yang menspesifikasi suatu asam amino pada mRNA disebut….
a. Singlet d. kodon
b. Dublet e. redudant
c. Triplet
76. Dalam proses sintesis protein dapat terjadi ketidaksesuaian hasil asam amino dengan kode informasi genetik yang dipolakan DNA sehingga terbentuk protein yang berbeda. Kesalahan ini terjadi pada...
a. RNAd
b. RNAt
c. RNAr
d. DNA
e. RNAm
77. Diketahui:
CAU=Serin, CCA=Prolin, GGA=Glutamin, GUG=Valin, GCC=Alanin.
Apabila urutan basa nitrogen yang akan melakukan transkripsi adalah CAC-CCT-CGG-GGT-GTA, maka urutan asam amino yang akan dibentuk adalah...
A. Serin-Valin-Glutamin-Alanin-Prolin
B. Valin-Alanin-Valin-Serin-Prolin
C. Glutamin-Alanin-Valin-Serin-Prolin
D. Valin-Glutamin-Alanin-Serin-Prolin
E. Valin-Glutamin-Alanin-Prolin-Serin
78. Hasil transkripsi memiliki ciri-ciri seperti berikut, kecuali...
A. merupakan komplemen sense
B. merupakan komplemen antisense
C. T pada DNA diganti U pada RNA
D. merupakan molekul utas tunggal yang mudah terurai
E. urutan nukleotida adenin berjumlah banyak
79. Berikut ini tahapan sintesis protein:
1. RNAt membawa asam amino yang sesuai dengan kodon
2. Asam amino berderet-deret sesuai dengan kodon
3. RNAd meninggalkan inti menuju ribosom
4. DNA membentuk RNA duta
5. RNAt bergabug dengan RNAd di ribosom
Urutan tahapan sintesis protei yang benar adalah...
A. 1-2-3-4-5
B. 2-3-4-5-1
C. 3-1-2-5-4
D. 4-3-1-5-2
E. 5-4-3-2-1
80. RNA yang berfungsi mengangkut asam amino guna dirangkai menjai polipeptida adalah...
A. RNAr
B. RNAt
c. RNAd
D. DNA
E. Sense
















0 Response to "SOAL BIOLOGI SUBSTANSI GENETIKA DAN GENETIKA"
Posting Komentar